سور رنګ 176-کوریمکس سور HF3C
د محصول پیرامیټر لیست
| د رنګ فهرست. | سور رنګ 176 |
| د محصول نوم | کوریمکس سور HF3C |
| د محصول کټګورۍ | ارګانیک رنګ |
| د CAS شمیره | 12225-06-8 |
| د EU شمیره | 235-425-2 |
| کیمیاوي کورنۍ | بینزیمیدازولون |
| مالیکولر وزن | 572.57 |
| د مالیکول فورمول | C32H24N6O5 |
| د پی ایچ ارزښت | 7 |
| کثافت | 1.6 |
| د تیلو جذب (ml / 100g)٪ | 40-60 |
| د ر Lightا ګړندۍ (پوښ) | 6 |
| د ګرمۍ مقاومت (پوښ) | 180 |
| د ر Lightا ګړندۍ (پلاستيکي) | 6-7 |
| د تودوخې مقاومت (پلاستیک) | 250 |
| د اوبو مقاومت | 5 |
| د تیلو مقاومت | 5 |
| د اسید مقاومت | 5 |
| د الکالی مقاومت | 4-5 |
رنګ | ![]() |
| د رنګ توزیع |
برخی:
سور رنګ 176 یو عالي نیلي نوري سیوري د لوړ فعالیت pigment دی ، د غوره ګړندۍ ، د تودوخې لوړ مقاومت ، شفاف او مهاجرت مقاومت سره.
TDS (سور سور 176) MSDS(Pigment Red 176)غوښتنلیک :
د صنعتي پینټونو ، پاؤډر کوټینګونو ، چاپ کولو پاسټونو ، PVC ، ربړ ، PS ، PP ، PE ، PU ، اوبو پر اساس رنګونو ، محلول رنګونو ، UV رنګونو لپاره وړاندیز شوی.
د موټرو پینټونو ، معمارۍ کوټینګونو ، کویل کوټینګ ، آفسیټ رنګونو لپاره وړاندیز شوی.
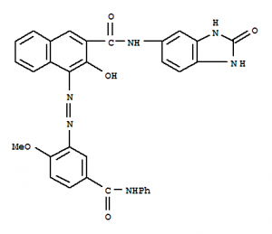
مالیکول جوړښت:

فزیکي او کیمیاوي ملکیتونه: آبي او سره. د سپکتیا کچه 6 ده. حرارتي ثبات د 300 above څخه پورته دی. د عضوي محلول مقاومت د مهاجرت پرته ، له 4 څخه تر 5 درجې پورې رسي.
د محصول کارول: په عمده توګه د رنګ کولو پلاستیک لپاره کارول کیږي.
سور رنګ 176 مشخصات :
د 2-نفاثلینکارباکسایډ ، N- (2،3-dihydro-2-oxo-1H-benzimidazol-5-yl) -3-hydroxy-4- [2- [2-methoxy-5 - [(فینیلایمینو) کاربونیل] فینیل ] diazenyl] - د C32H24N6O5 فورمول سره عضوي مرکب دی. د دې کیمیاوي سیستماتیک نوم 3-هایډروکسي-4- [2-میتوکسی-(- (فینیل کاربامومیل) فینیل] ایزو-این- (2-اکسو -1،3-ډایهایډروبینزیمیدازول-5-یل) نیفیتالین-2-کاربکسامایډ دی. د CAS راجسټرې شمیره 12225-06-8 سره ، دا د N- (2،3-dihydro-2-oxo-1H-benzimidazol-5-yl) -3-هایډروکسی 4 - [[2-methoxy- په نوم هم یادیږي. - - [(فینیلایمینو) کاربونیل] فینیل] ایزو] نیفتهلین---کاربکسامایډ. د محصول کټګورۍ ارګانیک دی.
د 2-نفاثلینکارباکسایډ ، N- (2،3-dihydro-2-oxo-1H-benzimidazol-5-yl) -3-هایډروکسای-4- [2- [2-methoxy-5 - [(فینیلایمینو)) کاربونیل په اړه فزیکي ملکیتونه ] فینیل] ډایجنیل] - دي: (1) ACD / LogP: 6.96؛ (2) د 5 سرغړونو د قاعدې #: 4؛ (3) ACD / LogD (pH 5.5): 6.95؛ (4) ACD / LogD (pH 7.4): 6.95؛ (5) د #H بانډ منلوونکي: 11؛ (6) د #H بانډ تمویلونکي: 5؛ (7) # د سپرلۍ دورې بندیز: 8؛ (8) د پولر سطحي ساحه: 153.51 Å2؛ (9) د انعکاس شاخص: 1.721؛ (10) د مولر انعکاس: 157.67 سانتي متره؛ (11) مولر حجم: 398.6 سانتي متره؛ (12) د قطبي کیدو وړتیا: 62.5 × 10-24cm3؛ (13) د سطح فشار: 61 ډن / سانتي متره؛ (14) کثافت: 1.43 g / cm3؛ (15) د فلش ټکی: 357.3 ° C؛ (16) د بخاراتو اخته کول: 101.63 kJ / مول؛ (17) د تودوخې نقطه: 667.2 ° C په 760 ملي ایم ایچ ګی؛ (18) بخار فشار: په 25 ° C کې د 2.05E-18mmHg.










